세 점 (x1, y1), (x2, y2), (x3, y3)을 지나는 포물선을 그래프로 하는 이차함수를 구해야 할 때 우리가 가장 쉽게 떠올릴 수 있는 풀이 방법은 다음과 같다.

이와 같이 그래프가 (n+1)개의 점을 지나는 n차 다항함수의 정확한 식을 얻는 방법을 ‘다항식 보간법(Polynomial interpolation)’이라 한다. 다항식 보간법은 주어진 몇 개의 점을 지나는 곡선을 그래프로 갖는 다항함수를 구해 그 점들 사이의 알려지지 않은 값들을 추정하기 위한 방법으로 ‘수치해석’이라는 수학 분야에서 활용된다.
그런데 이러한 보간법이 그다지 특별해 보이지는 않는다. 단순히 연립일차방정식을 반복해서 푸는 과정이므로. 하지만 학생들이 고통받지 않도록 출제자가 숫자를 잘 다듬어 내놓는 인위적인 상황이 아니라면 실제로 공학이나 자연과학에서 실험을 통해 얻은 데이터들은 깔끔하게 딱딱 떨어지지 않는다. 또한 차수가 늘어날 때마다 계산의 양이 이전 단계의 몇 배씩 증가하는데, 직접 계산해 보면 3차 이상만 되어도 연립일차방정식을 손으로 푸는 것은 상상 이상으로 성가시고 고통스럽다. 이에 연립일차방정식을 푸는 것보다 편리한 방법을 연구하게 되었고 여러 가지 방법들이 고안되었다. 그중 위대한 수학자이자 물리학자였던 뉴턴이 발견한 ‘뉴턴의 다항식 보간법’을 살펴보도록 하자.
예제) 함수 f(x)=ax^2+bx+c가 f(2.17)=7, f(3.17)=1, f(4.17)=3을 만족시킬 때, a의 값을 구하여라. (단, a, b, c는 상수)
풀이) 뛰어난 계산집중력을 가지고 있다면, 다음 연립방정식을 풀어 a의 값을 구할 수도 있을 것이다.

하지만 일반적으로 이 방정식을 손으로 풀기란 쉽지 않다. 그래서 조금 다른 방법으로 접근해 보자.
우선 두 점 (2.17, 7)과 (3.17, 1)을 지나는 직선을 그래프로 하는 일차함수의 식을 구하자.

y=g(x)의 그래프와 y=f(x)의 그래프가 두 점 (2.17, 7), (3.17, 1)에서 만나도록 그리면 다음과 같다.

이 그림을 보고 ‘그래프의 교점은 방정식의 근’임을 떠올린다면 아낌없이 칭찬하고 싶다.
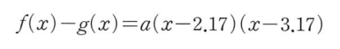
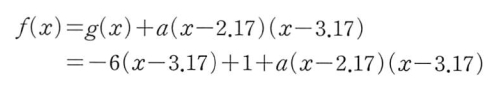
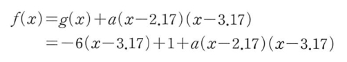
위 그래프에서 이차함수 f(x)와 일차함수 g(x)의 교점이 (2.17, 7), (3.17, 1)이므로 다항식 f(x)=g(x)는 다음과 같이 인수분해된다.

따라서 f(x)는 다음과 같이 나타내어진다.

f(4.17)=3이므로

위의 풀이 과정에서는 연립일차방정식이 등장하지 않는다. 그래프가 두 점을 지나는 일차함수의 식을 먼저 구하고, 이를 이용해서 그래프가 세 점을 지나는 이차함수의 식을 구하는 방법으로 차근차근 정리해 나가기 때문에 매 단계마다 정확하게 하나의 미지수가 풀린다. 이 방법은 새로운 점이 추가되어 다항식의 차수가 증가하는 경우에 기존의 다항식을 그대로 사용할 수 있는 장점이 있다.
삼각함수에 뉴턴의 다항식 보간법을 적용해 보면서 한 번 더 연습해 보자.
예제) 네 점 (0, 2), (1, 4), (2, 3), (3, 8)을 지나는 곡선을 그래프로 하는 삼차함수 f(x)=ax^3+bx^2+cx+d를 구하여라. (단, a, b, c, d는 상수)
풀이) 우선 두 점 (0, 2), (1, 4)를 지나는 직선을 그래프로 하는 일차함수 g(x)를 구하자.
g(x)=2(x-0)+2=2x+2
이제 세 점 (0. 2), (1, 4), (2, 3)을 지나는 포물선을 그래프로 하는 이차함수 h(x)를 구하자.
h(x)=g(x)+k(x-0)(x-1) (k는 상수)에 점 (2, 3)의 좌표를 대입하여 계산하면 k=-3/2이다. 즉,

마지막으로 네 점 (0, 2), (1, 4), (2, 3), (3, 8)을 지나는 곡선을 그래프로 하는 삼차함수 f(x)를 구하자.
f(x)=h(x)+a(x-0)(x-1)(x-2)에 점 (3, 8)의 좌표를 대입하여 계산하면 a=3/2이다.

- 발췌 및 수정 : 《숨마쿰라우데》

'정신체조수학' 카테고리의 다른 글
| 제논의 역설 (0) | 2023.02.24 |
|---|---|
| 지수와 로그의 실생활에서의 활용 (2) | 2023.01.04 |
| 도형을 이용한 부등식의 증명 (0) | 2022.12.26 |
| 소수(prime number)의 무한성 증명 (0) | 2022.12.26 |
댓글