자연 현상이나 사회 현상 중에는 시간, 거리 등에 따라 증가하거나 감소하는 변화 현상이 많이 있는데, 이러한 현상을 수학적으로 표현할 수 있는 수단이 보통 지수함수와 로그함수이다. 따라서 자연과학이나 경제학, 사회학 등 수학의 여러 응용 분야에서 지수함수와 로그함수는 매우 유용한 연구 도구로 이용되고 있다.
(1) 지수의 실생활에서의 활용
'인구론'으로 알려진 영국의 경제학자 맬서스는 1798년에 "세계 인구는 기하급수적으로 늘어나는데 식량 생산은 산술급수적으로 늘어나기 때문에 이로 인해 전 세계는 식량난에 닥칠 것이다."라고 말하였다.
맬서스가 제시한 지수성장모형(exponential growth model)은 현재 인구를 P0, 시각 t에서의 인구를 P(t)라 하면, 식은

이고, 그래프의 개형은 아래의 그림과 같다. 이때 e의 값은 약 2.72이다.

맬서스가 표현한 이 함수는 시간 t를 제외하고 어떤 것도 변수에 영향을 주지 않는 상태에서는 타당하지만 자원이나 기후, 공간 등의 영향을 받는 현실에는 잘 들어맞지 않는다.
이를 보완하기 위해 경제학자들은 인구 성장의 상한선을 설정한 후 미래의 인구를 추정하였는데, 그중 한 예인 벨기에의 수학자 베르휼스트가 제시한 로지스틱 모형(logistic model)의 경우, 식은

이고, 그래프의 개형은 아래의 그림과 같다.

지수함수로 표현되는 또 다른 예로 방사성 원소의 반감기가 있다.
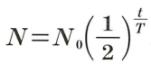
방사성 원소가 붕괴를 시작하여 처음 양의 절반이 되기까지 걸리는 시간을 그 원소의 반감기라 한다. 모든 방사성 원소는 고유의 반감기를 가지고 있는데, 어떤 방사성 원소의 반감기는 수백만 분의 일 초 밖에 안되지만 어떤 방사성 원소의 반감기는 수억 년이 넘는 것도 있다.1
방사성 원소의 처음 양을 N0g, 반감기를 T시간이라 할 때, t시간 후에 남아 있는 방사성 원소의 양을 Ng이라 하면

으로 지수함수로 표현된다.
최근 들어 우리 삶에 위협을 주는 요인인 바이러스도 방사성 원소처럼 개체 수의 변화가 지수함수를 따라간다. 바이러스도 한 마리가 두 마리가 되는 데 걸리는 시간이나, 100마리가 200마리가 되는 데 걸리는 시간이나 똑같다. 그래서 번식 시간이 짧은 신종 바이러스의 경우 개체 수가 기하급수적으로 늘어나므로 대처하는 데 큰 위협이 될 수 있다고 한다.
한편 반감기는 다른 분야에서도 찾아볼 수 있다. 예컨대 약리학에서 약물의 반감기는 어느 순간에 체내에 존재하는 약물의 양이 절반으로 줄어드는 데 필요한 시간으로 정의한다.
(2) 로그함수의 실생활에서의 활용
상용로그는 기하급수적으로 급격하게 증가하는 것을 산술급수적으로 완만하게 증가하도록 간단하게 표현하는데 유용한 도구이다.
<지진과 리히터 규모>
지진이 발생할 때마다 뉴스에서 리히터 규모(Richter magnitude)라는 용어로 설명하는 것을 들어보았을 것이다. 1935년 지질학자인 리히터가 창안한 개념으로 '규모'를 나타내는 기호 M은 Magnitude의 첫 글자 M을 딴 것이다. 지진의 규모는 진원지로부터 100km 떨어진 지점에서 지진계로 측정한 지진파의 최대 진폭에 따라 결정되는데, 지진파의 최대 진폭을 상용로그를 이용하여 작은 숫자로 축소해서 나타낸 것이 바로 리히터 규모이다.
리히터는 지진파의 최대 진폭이 A인 지진의 규모 M을 상용로그를 이용하여 다음과 같이 정의하였다.

이 식에 의하면 지진의 최대 진폭이 10배씩 커질 때마다 지진의 규모는 1씩 증가하게 된다. 또한 지진의 규모 M과 지진에 의해 발생하는 지진의 강도 E 사이에는 logE=11.4+1.5M인 관계가 성립한다. 여기서 지진의 규모가 1만큼 증가하면 지진의 강도는 10^1.5배, 즉 약 31.6배로 증가함을 알 수 있다. 예를 들어 리히터 규모가 9인 지진은 8인 지진보다 약 31.6배 강한 지진이고, 리히터 규모가 9인 지진은 7인 지진보다 약 31.6^2배, 즉 약 1000배 강한 지진이다.
<수소 이온 농도 지수 pH>
대기 오염에 대한 내용을 접할 때면 의례히 pH라는 수치가 등장하는데 이 수치는 용액 속의 수소 이온 농도를 측정해서 얻는다. 여기서 수소 이온 농도는 1L의 용액 속에 있는 수소 이온의 그램이온수를 나타내는 것으로 기호 [H+]를 사용한다. 그런데 수소 이온 농도는 그 자체로 쓰기에는 그 값이 너무 작아서 불편하고, 용액에 따라 큰 차이를 보여서 이를 상용로그를 이용하여 0에서 14까지의 적당한 수로 바꾼 것이 수소 이온 농도 지수(pH)이다.
보통 pH가 7보다 낮으면 산성, 7보다 높으면 염기성으로 본다.
수소 이온 농도[H+]를 pH로 바꾸는 공식은 pH=-log[H+]이다. 예를 들어 수용액 1L 속에 수소 이온이 1.0×10^(-8)g 있다면 이 용액의 pH는 pH=-log(1.0×10^(-8))=8이다.
<베버-페히너의 법칙>
베버(1795~1878)는 우리 몸의 자극을 받고 있는 감각기에 처음에 약한 자극을 주면 자극의 변화가 적어도 그 변화를 쉽게 감지할 수 있으나, 처음에 강한 자극을 주면 자극의 변화를 감지하는 능력이 약해져서 작은 자극은 느낄 수 없으며 더 큰 자극에서만 변화를 느낄 수 있다는 것을 발견하였다. 우리의 실생활에서 베버의 법칙은 많이 찾아볼 수 있다. 시끄러운 공장 안에서는 조용한 곳에서 이야기할 때보다 더 큰소리로 이야기해야 알아들을 수 있으며, 환한 낮에는 가로등의 불빛이 느껴지지 않지만 밤에는 밝게 느껴지는 것 등이 그 예이다. 이러한 사실을 발전시켜 페히너(1801~1887)는 감각의 세기 S는 그 감각이 일어나게 한 자극의 물리적인 양 I의 상용로그에 비례한다는 가설을 발표하였다. 이를 식으로 나타내면 S=klogI (k는 상수)인데 이를 베버-페히너의 법칙이라 한다.
<소리의 크기 단위 dB>
우리는 흔히 소리의 세기의 단위로 데시벨(dB)을 사용하는데, 이 역시 상용로그의 개념이 사용된다. 표준음의 세기를 I0이라 하고 어떤 소리의 세기를 I라고 할 때, 이 소리의 세기를 사용로그를 사용한 식

로 나타낸다.
따라서 정상적인 귀로 들을 수 있는 가장 작은 소리의 크기인 0dB을 기준으로 10dB씩 증가하는 경우 소리의 세기는 10배씩 강해진다. 즉, 20dB의 소리는 10dB의 소리보다 2배가 아니라 10배 강한 소리이고, 0dB의 소리보다 10배의 10배인 100배 강한 소리이다.
- 발췌 및 수정 : 《숨마쿰라우데》
✦ 관련글 : 2020.08.07 - [정신체조수학] - 생활 속 지수와 로그

- 보통 반감기가 길수록 오랫동안 방사선이 방출되므로 보다 위험한 물질로 생각할 수 있는데, 꼭 그런 것만은 아니다. 반감기란 방사성 원소가 절반만 남는 시점이 아니라 한 방사성 원소가 붕괴하는 속도를 나타내기 때문이다. 반감기가 짧으면 방사성 붕괴가 빠른 속도로 일어나 방사선이 집중적으로 나오므로 그만큼 위험하다고 볼 수도 있다. [본문으로]
'정신체조수학' 카테고리의 다른 글
| 통계의 허와 실 (2) | 2023.02.27 |
|---|---|
| 제논의 역설 (0) | 2023.02.24 |
| 뉴턴의 다항식 보간법 (2) | 2023.01.02 |
| 도형을 이용한 부등식의 증명 (0) | 2022.12.26 |
댓글